How to toggle between light and dark themes on KDE Plasma while preserving customizations.
This article thoroughly explores the principles, implementation, and applications of Support Vector Machines (SVMs). It introduces three methods of implementing SVMs, including solving the dual problem using a QP solver, SMO and Gradient Descent. The dataset used for experiment is the MNIST dataset.
This article is a learning note based on the book "Deep Learning for Coders with fastai and PyTorch" by Jeremy Howard and Sylvain Gugger. It covers key concepts from Chapter 4, ranging from non-parametric methods, linear functions, SGD, optimizers, learners, nonlinearity to deeper networks.
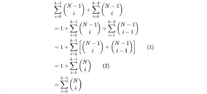
This article discusses the theory of generalization in machine learning, focusing on concepts such as break points and the VC inequality. This is a learning note based on a machine learning course from caltech.
This article introduces and explore a classic machine learning algorithm, Logistic Regression.
本文介绍了生日问题, 包括问题的定义, 极端情况, 穷举法, 对立事件的概率以及 Python 模拟. 本文是对<普林斯顿概率论>一书中相关内容的学习笔记.
本文介绍了如何在本地或云服务器上搭建饥荒联机版专用服务器 (Don't Starve Together Dedicated Server),并配置多层世界。内容包括存档文件的准备、模组的配置以及常见问题的解决方法。本文优化了官方提供服务器启动的脚本, 使其可以自动处理模组的配置, 免去了手动配置的麻烦.